MODEL
CoreShell
ORIGINAL AUTHOR/MODIFICATION
Steve Kline 06 NOV 1998
Alan Munter 08 JULY 1999, converted to Java
APPROVED FOR DISTRIBUTION
DESCRIPTION
Calculates the form factor, P(q), for a monodisperse spherical particle with a core-shell structure. The form factor is normalized by the total particle volume.
Resolution smeared version is also provided.
VARIABLES
Input Variables (default values):
| Parameter | Variable | Value |
|---|---|---|
| 0 | Scale | 1.0 |
| 1 | Core Radius (Å) | 60.0 |
| 2 | Shell Thickness (Å) | 10.0 |
| 3 | Core SLD (Å-2) | 1.0e-6 |
| 4 | Shell SLD (Å-2) | 2.0e-6 |
| 5 | Solvent SLD (Å-2) | 3.0e-6 |
| 6 | incoherent Background(cm-1) | 0.000 |
USAGE NOTES
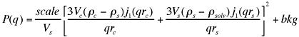
The function calculated is:

where
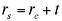
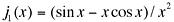
,
, and
.
The returned value is scaled to units of [cm-1].

Parameter[0] (scale) and the SLD's are multiplicative factors in the model and are perfectly correlated. No more than one of these parameters can be free during the model fitting.
If the scale factor Parameter[0] is set equal to the particle volume fraction, phi, the returned value is the scattered intensity per unit volume, I(q) = phi*P(q). However, no interparticle interference effects are included in this calculation.
Scattering from monodisperse vesicles can be calculated by setting the core SLD equal to the solvent SLD.
REFERENCE
Guinier, A. and G. Fournet, "Small-Angle Scattering of X-Rays", John Wiley and Sons, New York, (1955).
TEST DATASET
This example dataset is produced by calculating the CoreShell, using 256 data points, qmin = 0.001 Å-1, qmax = 0.7 Å-1 and the above default coefficient values.
