MODEL
Ellipsoid
AUTHOR/MODIFICATION
Steve Kline 20 JAN 1999
Alan Munter 08 JULY 1999, converted to Java
APPROVED FOR DISTRIBUTION
DESCRIPTION
Calculates the form factor for a monodisperse ellipsoid (ellipsoid of revolution) with uniform scattering length density. The form factor is normalized by the particle volume such that P(q) = scale*<f*f>/Vol + bkg, where f is the scattering amplitude and the < > denote an average over all possible orientations of the ellipsoid.
Resolution smeared version is also provided.
VARIABLES
Input Variables (default values):
| Parameter | Variable | Value |
|---|---|---|
| 0 | Scale | 1.0 |
| 1 | Ra (rotation axis) (Å) | 20.0 |
| 2 | Rb (Å) | 400.0 |
| 3 | Contrast (Å-2) | 3.0e-6 |
| 4 | Incoherent Background (cm-1) | 0.0 |
USAGE NOTES
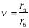
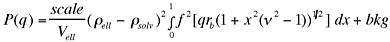
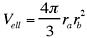
The function calculated is:
![]()
![]()
and
![]()
The returned value is scaled to units of [cm-1], on absolute scale.
The ellipse is rotated about the axis of Ra to define the ellipsoid. If (as shown below) the Rb >Ra, the object is an oblate ellipsoid (disk-like). If Rb < Ra, then the object is a prolate ellipsoid (needle-like). If the two radii are equal, then the ellipsoid is a sphere.

If the object is an oblate ellipsoid (disk-like), it displays a limiting power-law slope of q-2 at low q.
A prolate ellipsoid (needle-like), displays a limiting power-law slope of q-1 at low q.
Parameter[0] (scale) and Parameter[3] (contrast) are both multiplicative factors in the model and are perfectly correlated. One or both of these parameters must be held fixed during model fitting.
If the scale factor Parameter[0] is set equal to the particle volume fraction, phi, the returned value is the scattered intensity per unit volume, I(q) = phi*P(q). However, no interparticle interference effects are included in this calculation.
REFERENCE
Feigin, L. A, and D. I. Svergun, "Structure Analysis by Small-Angle X-Ray and Neutron Scattering", Plenum Press, New York, (1987).
TEST DATASET
This example dataset is produced by calculating the Ellipsoid using 128 data points, qmin = 0.001 Å-1, qmax = 0.7 Å-1 and the above default parameter values.
