MODEL
ProlateCoreShell
AUTHOR/MODIFICATION
Steve Kline 06 NOV 1998
Alan Munter 08 JULY 1999, converted to Java
APPROVED FOR DISTRIBUTION
DESCRIPTION
Calculates the form factor for a monodisperse prolate ellipsoid particle with a core/shell structure. The form factor is averaged over all possible orientations of the ellipsoid. The form factor is normalized by the total particle volume such that P(q) = scale*<f2>/Vol + bkg, where f is the single particle scattering amplitude and the < > represent the orientational average.
Resolution smeared version is also provided.
VARIABLES
Input Variables (default values):
| Parameter | Variable | Value | 
|---|---|---|
| 0 | Scale | 1.0 | 
| 1 | Major Core Radius (Å) | 100.0 | 
| 2 | Minor Core Radius (Å) | 50.0 | 
| 3 | Major Shell Radius (Å) | 110.0 | 
| 4 | Minor Shell Radius (Å) | 60.0 | 
| 5 | Contrast (core-shell) (Å-2) | 1.0e-6 | 
| 6 | Contrast (shell-solvent) (Å-2) | 2.0e-6 | 
| 7 | Incoherent Background (cm-1) | 0.0 | 
USAGE NOTES
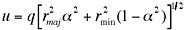
The function calculated is P(q):
 
![]()
  
![]()
![]()
The returned value is in units of [cm-1]

Scattering contrast = SLD (core) - SLD (shell) or SLD (shell - solvent) as marked
Parameter[0] (scale), and contrasts (Parameter[5] and Parameter[6]) are both multiplicative factors in the model and are perfectly correlated. No more than one of these parameters can be free during model fitting.
If the scale factor Parameter[0] is set equal to the particle volume fraction, phi, then the returned value is the scattered intensity per unit volume, I(q) = phi*P(q). However, no interparticle interference effects are included in this calculation.
It is the users' responsibility to ensure that shell radii are larger than core radii, and that major radii are larger than minor radii.
76-point Gaussian quadrature is used to perform the orientational averaging, and may be slow on older machines.
REFERENCE
Kotlarchyk, M.; Chen, S.-H. J. Chem. Phys., 1983, 79, 2461.
Berr, S. J. Phys. Chem., 1987, 91, 4760.
TEST DATASET
This example dataset is produced by calculating the ProlateCoreShell using 128 data points, qmin = 0.001 Å-1, qmax = 0.7 Å-1 and the above default parameter values.
