MODEL
SquareWell
AUTHOR/MODIFICATION
Steve Kline 06 NOV 1998
Alan Munter 08 JULY 1999, converted to Java
APPROVED FOR DISTRIBUTION
DESCRIPTION
Calculates the interparticle structure factor, S(q), for a square well fluid of monodisperse hard spheres.
VARIABLES
Input Variables (default values):
| Parameter | Variable | Value | 
|---|---|---|
| 0 | Radius (Å) | 50.0 | 
| 1 | Volume Fraction (0-1) | 0.04 | 
| 2 | Well Depth (kT) | 1.5 | 
| 3 | Well Width (diameters) | 1.2 | 
USAGE NOTES
The returned value is dimensionless.
The mean spherial approximation (MSA) closure was used for this calculation, and is not the most appropriate closure for an attractive interparticle potential. This solution has been compared to Monte Carlo simulations for a square well fluid, showing this calculation to be limited in applicability to well depths e < 1.5 kT and volume fractions f < 0.08.
Positive well depths correspond to an attractive potential well. Negative well depths correspond to a potential "shoulder", which may or may not be physically reasonable.
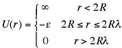
The well width (l) is defined as multiples of the particle diameter (2*R)
The interaction potential is:

REFERENCE
Sharma and Sharma, Physica 89A, 212 (1977).
TEST DATASET
This example dataset is produced by calculating the SquareWell using 300 data points, qmin = 0.001 Å-1, qmax = 0.7 (Å-1) and the above default parameter values.
