MODEL
TeubnerStrey
AUTHOR/MODIFICATION
Steve Kline 06 NOV 1998
Alan Munter 08 July 1999, converted to Java
APPROVED FOR DISTRIBUTION
DESCRIPTION
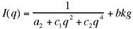
This function calculates the scattered intensity of a two-component system using the Teubner-Strey model.
VARIABLES
Input Variables (default values):
| Parameter | Variable | Value |
|---|---|---|
| 0 | Scale (a2) | 0.1 |
| 1 | c1 | -30.0 |
| 2 | c2 | 5000.0 |
| 3 | Incoherent Background (cm-1) | 0.0 |
USAGE NOTES
The returned value is on an arbitrary scale.
the function calculated is:
![]()
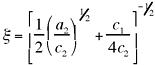
where the correlation length (the dispersion of d) is:

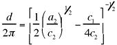
and the quasi-periodic repeat distance is:

Parameter[0] (a2) acts as a scale factor, taking note that it is in the denominator and will affect the magnitude of c1 and c2.
REFERENCE
Teubner, M; Strey, R. J. Chem. Phys., 1987, 87, 3195.
Schubert, K-V.; Strey, R.; Kline, S. R.; and E. W. Kaler J. Chem. Phys., 1994, 101, 5343.
TEST DATASET
This example dataset is produced by calculating the TeubnerStrey model using data points, qmin = 0.001 Å-1, qmax = 0.7 (Å-1) and the above default parameter values.
